Oriel Kiss

Quantum algorithms and machine learning

Neutrino thermalization via randomization on a quantum processor


Journal article


Oriel Kiss, Ivano Tavernelli, Francesco Tacchino, Denis Lacroix, Alessandro Roggero
arXiv:2510.24841, 2025 Oct

DOI: https://doi.org/10.48550/arXiv.2510.24841

arXiv Data
Cite

Cite

APA   Click to copy
Kiss, O., Tavernelli, I., Tacchino, F., Lacroix, D., & Roggero, A. (2025). Neutrino thermalization via randomization on a quantum processor. ArXiv:2510.24841. https://doi.org/ https://doi.org/10.48550/arXiv.2510.24841


Chicago/Turabian   Click to copy
Kiss, Oriel, Ivano Tavernelli, Francesco Tacchino, Denis Lacroix, and Alessandro Roggero. “Neutrino Thermalization via Randomization on a Quantum Processor.” arXiv:2510.24841 (October 2025).


MLA   Click to copy
Kiss, Oriel, et al. “Neutrino Thermalization via Randomization on a Quantum Processor.” ArXiv:2510.24841, Oct. 2025, doi: https://doi.org/10.48550/arXiv.2510.24841.


BibTeX   Click to copy

@article{oriel2025a,
  title = {Neutrino thermalization via randomization on a quantum processor},
  year = {2025},
  month = oct,
  journal = {arXiv:2510.24841},
  doi = { 	 https://doi.org/10.48550/arXiv.2510.24841},
  author = {Kiss, Oriel and Tavernelli, Ivano and Tacchino, Francesco and Lacroix, Denis and Roggero, Alessandro},
  month_numeric = {10}
}

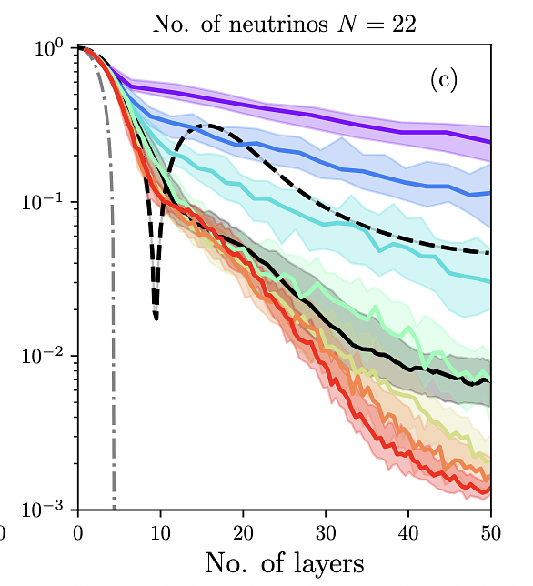
The dynamical evolution of neutrino flavor in supernovae can be modeled by an all-to-all spin Hamiltonian with random couplings. Simulating such two-local Hamiltonian dynamics remains a major challenge, as methods with controllable accuracy require circuit depths that increase at least linearly with system size, exceeding the capabilities of current quantum devices. The eigenstate thermalization hypothesis predicts that these systems should thermalize, a behavior confirmed in small-scale classical simulations. In this work, we investigate flavor thermalization in much larger systems using random quantum circuits as an empirical tool to emulate the non-local dynamics, and demonstrate that the thermal behavior can be reproduced using a depth independent of the system size. By simulating dynamics of over one hundred qubits, we find that the thermalization time grows approximately as the square root of the system size, consistent with predictions from semi-classical methods. Beyond this specific result, our study illustrates that near-term quantum devices are useful tools to test and validate empirical classical methods. It also highlights a new application of random circuits in physics, providing insight into complex many-body dynamics that are classically intractable.