Oriel Kiss

Quantum algorithms and machine learning

Towards scalable quantum computations of atomic nuclei


Journal article


Chenyi Gu, Matthias Heinz, Oriel Kiss, Thomas Papenbrock
arXiv 2507.14690, 2025 Jul

DOI: https://doi.org/10.48550/arXiv.2507.14690

arXiv
Cite

Cite

APA   Click to copy
Gu, C., Heinz, M., Kiss, O., & Papenbrock, T. (2025). Towards scalable quantum computations of atomic nuclei. ArXiv 2507.14690. https://doi.org/ https://doi.org/10.48550/arXiv.2507.14690


Chicago/Turabian   Click to copy
Gu, Chenyi, Matthias Heinz, Oriel Kiss, and Thomas Papenbrock. “Towards Scalable Quantum Computations of Atomic Nuclei.” arXiv 2507.14690 (July 2025).


MLA   Click to copy
Gu, Chenyi, et al. “Towards Scalable Quantum Computations of Atomic Nuclei.” ArXiv 2507.14690, July 2025, doi: https://doi.org/10.48550/arXiv.2507.14690.


BibTeX   Click to copy

@article{chenyi2025a,
  title = {Towards scalable quantum computations of atomic nuclei},
  year = {2025},
  month = jul,
  journal = {arXiv 2507.14690},
  doi = { 	 https://doi.org/10.48550/arXiv.2507.14690},
  author = {Gu, Chenyi and Heinz, Matthias and Kiss, Oriel and Papenbrock, Thomas},
  month_numeric = {7}
}

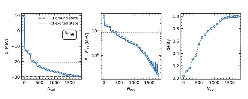
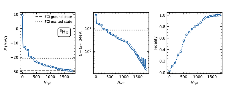
We solve the nuclear two-body and three-body bound states via quantum simulations of pionless effective field theory on a lattice in position space. While the employed lattice remains small, the usage of local Hamiltonians including two- and three-body forces ensures that the number of Pauli terms scales linearly with increasing numbers of lattice sites. We use an adaptive ansatz grown from unitary coupled cluster theory (ADAPT-VQE) to parametrize the ground states of the deuteron and 3He, compute their corresponding energies, and analyze the scaling of the required computational resources.
[Picture]
Ground state energies and state fidelities obtained using ADAPT-VQE .